发布时间:2025-02-27
浏览次数:10
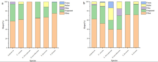
近日,我校Beat365正版唯一官网必一陆化杰副教授课题组在国际生态与环境管理领域知名期刊《Journal of Environmental Management》(影响因子8.0,中国科学院分区为2区,JCR分区为Q1区。)发表了题为“Deposition Characteristics of Microplastics in Coral Reef Fish with Different Feeding Habits from the Xisha Islands Waters, South China Sea” 的学术论文。论文以中国南海西沙群岛海域的珊瑚礁鱼类为研究对象,揭示了微塑料在珊瑚礁鱼类不同组织中的分布规律,初步阐明了不同食性(肉食性、杂食性、草食性)珊瑚礁鱼类微塑料的沉积特性,并在此基础上推测了中国南海西沙群岛海域微塑料污染水平。

近年来,微塑料污染作为全球环境问题受到广泛关注。微塑料不仅广泛分布于海洋环境中,还能够通过食物链在水生生物体内累积,对海洋生态系统和渔业资源构成潜在威胁。尤其是珊瑚礁生态系统,被誉为“海洋热带雨林”,其健康状况直接关系到海洋生物多样性。本研究结果不仅有助于评估中国南海部分海域的污染状况,还可为全球珊瑚礁生态系统的保护与管理提供科学支撑。

近10年来,课题组以南海渔业资源可持续利用与开发为抓手,与海南省等有关科研院所合作,持续开展了中国南海主要经济鱼类的资源调查与开发、渔业环境监测与保护等相关研究工作,为维护我国在南海的海洋权益添砖加瓦。
(供稿:Beat365正版唯一官网必一)